世界杯投注官网

您所在位置:首页 > 云浮市市场监督管理局 > 信息公开 > 行政公告 > 正文
云浮市茶叶过度包装专项治理行动典型案例(第二批)
发布日期:2023-12-01 09:38:30 信息来源:本网
保护视力色:
字体大小:

  为深入贯彻习近平生态文明思想,完整、准确、全面贯彻新发展理念,做好《中华人民共和国消费者权益保护法》《中华人民共和国固体废物污染环境防治法》《中华人民共和国循环经济促进法》等法律法规和《限制商品过度包装要求 食品和化妆品》(GB 23350—2021,含第1号修改单、将出台的第2号修改单)的普及宣传工作。2023年以来,云浮市各级市场监管部门采取有力措施,依法严厉打击茶叶过度包装违法行为,倡议共同抵制茶叶过度包装,鼓励绿色消费,弘扬“简约、恬淡、自然”的茶文化内涵,推动茶叶行业健康有序发展。现集中公布一批典型案例。

  【案件查处】案例一

  2023年11月22日,云浮市罗定市市场监督管理局在商品过度包装专项执法检查中,对罗定市某贸易公司销售的“顶级古树红茶”1盒(内装3铁罐小包装茶叶,共3层包装,净重350克)进行精准测量。

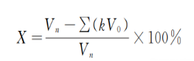
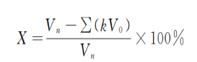
  执法人员用游标卡尺测量茶叶外包装大小,取三次测量平均值,得到其外包装平均长度为28.9cm,平均宽度为28.9cm,平均高度为12cm,实际体积10022.52cm³。根据《限制商品过度包装要求 食品和化妆品》(GB 23350—2021)国家标准的包装空隙率计算公式(该标准中,茶叶的商品必要空间系数k值取值为13.0),

  图片1.png

  计算出上述茶叶包装盒的空隙率为54.6%,不符合《限制商品过度包装要求 食品和化妆品》(GB 23350—2021)中有关“单件净含量Q>50g,空隙率≤30%”的规定要求。

  当事人的行为违反了《中华人民共和国固体废物污染环境防治法》第六十八条第二款的规定,构成生产经营者未遵守限制商品过度包装强制性标准的行为。2023年11月22日,依据《中华人民共和国固体废物污染环境防治法》第一百零五条之规定,云浮市罗定市市场监督管理局当场对经营者发出《责令改正通知书》,依法责令当事人立即改正上述违法行为,并下架停止销售相关产品;并对经营者进行引导教育,督促其依法依标诚信经营;寓普法宣传于执法检查中,向其宣传了茶叶过度包装的有关知识和《中华人民共和国固体废物污染环境防治法》《限制商品过度包装要求 食品和化妆品》(GB 23350—2021)的相关要求。

  2023年11月23日,经复查,当事人已下架相关产品。

  【案件查处】案例二

  2023年11月22日,云浮市郁南县市场监督管理局在商品过度包装专项执法检查中,对郁南县某茶庄销售的御品普洱茶1盒(内装1茶饼,净含量357克)进行精准测量。

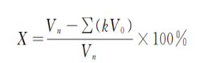
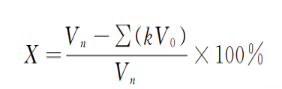
  执法人员用游标卡尺测量茶叶外包装大小,取三次测量平均值,得到其外包装平均长度为30cm,平均宽度为30cm,平均高度为7.5cm,实际体积6750cm³。根据《限制商品过度包装要求 食品和化妆品》(GB 23350—2021)国家标准的包装空隙率计算公式(该标准中,茶叶的商品必要空间系数k值取值为13.0),

  图片2.png

  计算出上述茶叶包装盒的空隙率为31.24%,不符合《限制商品过度包装要求 食品和化妆品》(GB 23350—2021)中有关“单件净含量Q>50g,空隙率≤30%”的规定要求。

  当事人的行为违反了《中华人民共和国固体废物污染环境防治法》第六十八条第二款的规定,构成生产经营者未遵守限制商品过度包装强制性标准的行为。2023年11月22日,依据《中华人民共和国固体废物污染环境防治法》第一百零五条之规定,云浮市郁南县市场监督管理局当场对经营者发出《责令改正通知书》,依法责令当事人立即改正上述违法行为,并下架停止销售相关产品;并对经营者进行引导教育,督促其依法依标诚信经营;寓普法宣传于执法检查中,向其宣传了茶叶过度包装的有关知识和《中华人民共和国固体废物污染环境防治法》《限制商品过度包装要求 食品和化妆品》(GB 23350—2021)的相关要求。

  2023年11月23日,经复查,当事人已下架相关产品。

  【案件查处】案例三

  2023年11月22日,云浮市郁南县市场监督管理局在商品过度包装专项执法检查中,对郁南县某茶庄销售的“普洱茶”1盒(内装1茶饼,净含量200克)进行精准测量。

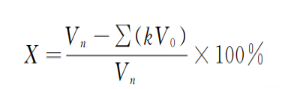
  执法人员用游标卡尺测量茶叶外包装大小,取三次测量平均值,得到其外包装平均长度为27.5cm,平均宽度为27.5cm,平均高度为5cm,实际体积3781.25cm³。根据《限制商品过度包装要求 食品和化妆品》(GB 23350—2021)国家标准的包装空隙率计算公式(该标准中,茶叶的商品必要空间系数k值取值为13.0),

  图片3.png

  计算出上述茶叶包装盒的空隙率为31.24%,不符合《限制商品过度包装要求 食品和化妆品》(GB 23350—2021)中有关“单件净含量Q>50g,空隙率≤30%”的规定要求。

  当事人的行为违反了《中华人民共和国固体废物污染环境防治法》第六十八条第二款的规定,构成生产经营者未遵守限制商品过度包装强制性标准的行为。2023年11月22日,依据《中华人民共和国固体废物污染环境防治法》第一百零五条之规定,云浮市郁南县市场监督管理局当场对经营者发出《责令改正通知书》,依法责令当事人立即改正上述违法行为,并下架停止销售相关产品;并对经营者进行引导教育,督促其依法依标诚信经营;寓普法宣传于执法检查中,向其宣传了茶叶过度包装的有关知识和《中华人民共和国固体废物污染环境防治法》《限制商品过度包装要求 食品和化妆品》(GB 23350—2021)的相关要求。

  2023年11月23日,经复查,当事人已下架相关产品。

  【案件查处】案例四

  2023年11月22日,云浮市郁南县市场监督管理局在商品过度包装专项执法检查中,对郁南县某茶庄销售的“红茶”(规格:250克/盒,内有36小包,每小包净含量7克)

  1盒进行精准测量。

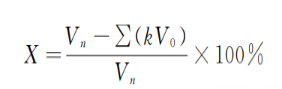
  执法人员用游标卡尺测量茶叶外包装大小,取三次测量平均值,得到其外包装平均长度为36cm,平均宽度为24cm,平均高度为11cm,实际体积9504cm³。根据《限制商品过度包装要求 食品和化妆品》(GB 23350—2021)国家标准的包装空隙率计算公式(该标准中,茶叶的商品必要空间系数k值取值为13.0),

  图片4.png

  计算出上述茶叶包装盒的空隙率为65.8%,不符合《限制商品过度包装要求 食品和化妆品》(GB 23350—2021)中有关“单件净含量Q>50g,空隙率≤30%”的规定要求。

  当事人的行为违反了《中华人民共和国固体废物污染环境防治法》第六十八条第二款的规定,构成生产经营者未遵守限制商品过度包装强制性标准的行为。2023年11月22日,依据《中华人民共和国固体废物污染环境防治法》第一百零五条之规定,云浮市郁南县市场监督管理局当场对经营者发出《责令改正通知书》,依法责令当事人立即改正上述违法行为,并下架停止销售相关产品;并对经营者进行引导教育,督促其依法依标诚信经营;寓普法宣传于执法检查中,向其宣传了茶叶过度包装的有关知识和《中华人民共和国固体废物污染环境防治法》《限制商品过度包装要求 食品和化妆品》(GB 23350—2021)的相关要求。

  2023年11月23日,经复查,当事人已下架相关产品。

  【案件查处】案例五

  2023年11月22日,云浮市云城区市场监督管理局在商品过度包装专项执法检查中,对云城区某食品商行销售的4盒“高宅金骏眉”(标签标有“净含量:324g;生产日期:见标签2022 04 20”等内容)进行精准测量。

  执法人员用游标卡尺测量茶叶外包装大小,取三次测量平均值,得到其外包装平均长度为43cm,平均宽度为25cm,平均高度为7.5cm,实际体积8062.5cm³。根据《限制商品过度包装要求 食品和化妆品》(GB 23350—2021)国家标准的包装空隙率计算公式(该标准中,茶叶的商品必要空间系数k值取值为13.0),

  图片5.png

  计算出上述茶叶包装盒的空隙率为47.76%,不符合《限制商品过度包装要求 食品和化妆品》(GB 23350—2021)中有关“单件净含量Q>50g,空隙率≤30%”的规定要求。

  当事人的行为违反了《中华人民共和国固体废物污染环境防治法》第六十八条第二款的规定,构成生产经营者未遵守限制商品过度包装强制性标准的行为。2023年11月22日,依据《中华人民共和国固体废物污染环境防治法》第一百零五条之规定,云浮市云城区市场监督管理局当场对经营者发出《责令改正通知书》,依法责令当事人立即改正上述违法行为,并下架停止销售相关产品;并对经营者进行引导教育,督促其依法依标诚信经营;寓普法宣传于执法检查中,向其宣传了茶叶过度包装的有关知识和《中华人民共和国固体废物污染环境防治法》《限制商品过度包装要求 食品和化妆品》(GB 23350—2021)的相关要求。

  2023年11月23日,经复查,当事人已下架相关产品。

  【案件查处】案例六

  2023年11月22日,云浮市云城区市场监督管理局在商品过度包装专项执法检查中,对云城区某茶行销售的8盒“金奖肉桂”(标签标有“配料:武夷岩茶;净含量:8.3克*30罐;生产日期:2022年9月9日”等信息)进行精准测量。

  执法人员用游标卡尺测量茶叶外包装大小,取三次测量平均值,得到其外包装平均长度为38.5cm,平均宽度为29cm,平均高度为8cm,实际体积8932cm³。根据《限制商品过度包装要求 食品和化妆品》(GB 23350—2021)国家标准的包装空隙率计算公式(该标准中,茶叶的商品必要空间系数k值取值为13.0),

  图片6.png


  计算出上述茶叶包装盒的空隙率为63.76%,不符合《限制商品过度包装要求 食品和化妆品》(GB 23350—2021)中有关“5g<单件净含量Q≤15g,空隙率≤60%”的规定要求。

  当事人的行为违反了《中华人民共和国固体废物污染环境防治法》第六十八条第二款的规定,构成生产经营者未遵守限制商品过度包装强制性标准的行为。2023年11月22日,依据《中华人民共和国固体废物污染环境防治法》第一百零五条之规定,云浮市云城区市场监督管理局当场对经营者发出《责令改正通知书》,依法责令当事人立即改正上述违法行为,并下架停止销售相关产品;并对经营者进行引导教育,督促其依法依标诚信经营;寓普法宣传于执法检查中,向其宣传了茶叶过度包装的有关知识和《中华人民共和国固体废物污染环境防治法》《限制商品过度包装要求 食品和化妆品》(GB 23350—2021)的相关要求。

  2023年11月23日,经复查,当事人已下架相关产品。




                                                                                                                                                 云浮市市场监督管理局     

                                                                                                                                                      2023年11月28日


TOP】 【打印本页】 【关闭窗口
分享到:

版权所有:世界杯投注官网  未经许可 不得擅自复制、镜像     网站地图    联系我们
维护单位: 云浮市市场监管局信息中心  您是第 1103029 位访客   粤公网安备 44530202000010号
ICP备案号:粤09015554号-1网站标识码:4453000050
建议使用IE9.0版本及以上浏览器、分辨率1280*960浏览本网站  

微信关注手机版

您访问的链接即将离开"云浮市市场监督管理局"网站 是否继续?